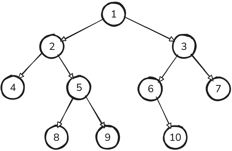
如下图所示的一棵二叉树的深度、宽度及结点间距离分别为:
(1)深度:4
(2)宽度:4
(3)结点 8 和 6 之间的距离:8
(4)结点 7 和 6 之间的距离:3
其中宽度表示二叉树上同一层最多的结点个数,节点 u,v 之间的距离表示从 u 到 v 的最短有向路径上向根节点的边数的两倍加上向叶节点的边数。

给定一颗以 1 号结点为根的二叉树,请求出其深度、宽度和两个指定节点 x,y 之间的距离。
第一行是一个整数,表示树的结点个数 n。
接下来 n−1 行,每行两个整数 u,v,表示树上存在一条连接 u,v 的边。
最后一行有两个整数 x,y,表示求 x,y 之间的距离。
输出三行,每行一个整数,依次表示二叉树的深度、宽度和 x,y 之间的距离。
10 1 2 1 3 2 4 2 5 3 6 3 7 5 8 5 9 6 10 8 6
4 4 8
【数据说明】
对于全部的测试点,保证 1≤u,v,x,y≤n≤100,且给出的是一棵树。保证 u 是 v 的父结点。