给定一个 n 个顶点、 m 条边的无向图。请以邻接矩阵和邻接表的形式输出这一张图。
- 第一行输入两个正整数 n 和 m ,表示图的顶点数和边数。
- 第二行开始,往后 m 行,每行输入两个以空格隔开的正整数 u, v ,表示 u 和 v 顶点之间有一条边直接相连。
首先输出一个 n \times n 的矩阵,以空格隔开每一行之间的数,表示邻接矩阵。第 i 行第 j 列的数为 1,则表示顶点 i 和 j 之间有一条边直接相连;若为 0,则表示没有直接相连的边。
再往后输出 n 行。第 i 行首先输出一个整数 d_i ,表示这个顶点的度数,再按照从小到大的顺序,依次输出与顶点 i 直接相连的所有顶点。
5 5 1 2 2 3 3 5 1 3 3 4
0 1 1 0 0 1 0 1 0 0 1 1 0 1 1 0 0 1 0 0 0 0 1 0 0 2 2 3 2 1 3 4 1 2 4 5 1 3 1 3
## 提示
数据保证,对于所有数据, 1 \leq n \leq 1000 , 1 \leq m \leq 10^5 ,且图无重边、无自环。
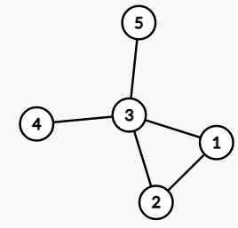
### 图形示意

说明:该图结构为:
- 顶点 1 连接 2 和 3
- 顶点 2 连接 1 和 3
- 顶点 3 连接 1、2、4、5
- 顶点 4 连接 3
- 顶点 5 连接 3