一、单项选择题(共15题,每题2分,共计30分;每题有且仅有一个正确选项)
1 已知数组 A 中,每个元素 A[i][j] 在存储时要占 3 字节,设 i 从 1 变化到 8,j 从 1 变化到 10,分配内存时是从地址 SA 开始连续按行存储分配的。试问:A[4][7] 的起始地址是什么?( )
A SA+108
B SA+141
C SA+111
D SA+126
2 以下关于算法的描述正确的是( )。
A 算法可以没有输出
B 算法至少有一个输入
C 算法必须在计算机上用某种语言实现
D 算法的改进在很大程度上推动了计算机科学与技术的进步
3 执行下述 C++ 代码,输出的结果是( )。
```cpp
#include <bits/stdc++.h>
using namespace std;
int main()
{
int pos = 2;
string s = "noip";
cout << s[++pos]<< endl;
return 0;
}
```
A 0
B i
C p
D 空格
4 ( )表示只读存储器。
A HDD
B SSD
C ROM
D RAM
5 有关下面 C++ 代码的说法,正确的是( )。
int cnt;
int fun(int a, int b)
{
int tmp;
if(0==b) tmp=a;
else
{
tmp = fun(b,a%b);
cnt++;
}
return tmp;
}
A fun 函数可以求出 a 和 b 的最大公共质因子
B fun 函数可能会死循环
C 如果 a 小于 9,那么 cnt 的值不会超过 20
D fun 函数能够求出 a 和 b 的最小公倍数
6 以下哪个不属于与 STL 有关的函数?( )
A swap
B sort
C max
D freopen
7 在顺序表(1, 3, 7, 10, 14, 15, 19, 26, 38, 47, 85)中,用二分法查找 13,所需的关键码比较的次数为( )。
A 2
B 3
C 4
D 5
8 在下列各种排序算法中,关键字比较的次数与记录的初始排列次序无关的是( )。
A 插入排序
B 快速排序
C 选择排序
D 冒泡排序
9 下列说法中正确的是( )。
A 计算机网络按照地理范围分为局域网、城域网和广域网
B 互联网的基础 TCP/IP 是七层协议
C 每台计算机配置的都是 C 类 IP 地址
D 中国的计算机 IP 地址已经全部升级到了 IPv6 地址
10 在 U 盘中发现计算机病毒后,较为彻底的清除方法是( )。
A 删除 U 盘文件
B 格式化 U 盘
C 用消毒水喷洒在 U 盘上
D 用杀毒软件处理
11 下列关于十进制数 101 的说法中错误的是( )。 注:这里 B 表示二进制 Binary,H 表示十六进制 Hexadecimal。
A 该数原码为 01100101 B
B 该数反码为 65 H
C 该数真值为 01100011 B
D 该数补码为 65 H
12 动态规划将一个问题分解为一系列子问题来求解。下面关于子问题的描述中正确的 是( )。
A 具有重叠子问题的性质
B 和分治法的子问题类似
C 不具有最优子结构的性质
D 问题的最优解可以由部分子问题的非最优解推导出来
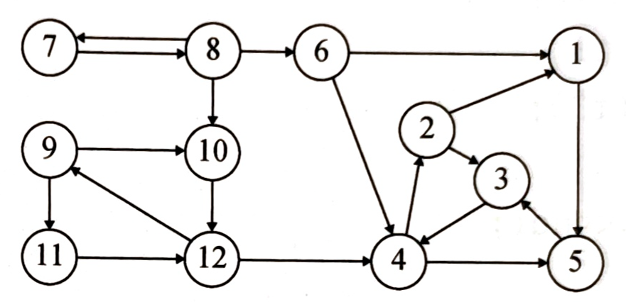
13 在下面的有向图中,有多少个强连通分量?( )

A 3
B 4
C 5
D 6
14 从 4 台甲型电视机和 5 台乙型电视机中任意取出 3 台,其中至少要甲型电视机与乙 型电视机各一台,则不同的取法共有( )种。
A 140
B 70
C 80
D 35
15 在 32 位计算机中,用补码表示的 C++的整型变量 int 能够表示的数据范围是( )。
A 0~2^{31}-1
B 0~2^{32}
C -2^{31}~2^{31}-1
D -2^{31}+1 ~ 2^{31}
无
//标准程序,修改好答案后提交
#include <bits/stdc++.h>
using namespace std;
string s = "0";
int main(){
s += "ABCDABCDABCDABC";//字符串更改为你的答案,共15个,其他的都不要更改
int x;
cin >> x;
cout << s[x];
return 0;
}