普及组 CSP-J2024 初赛模拟卷 7
一、单项选择题(共15题,每题2分,共计30分;每题有且仅有一个正确选项)
1 在标准ASCII码表中,字符‘4’的ASCII码值用二进制表示是( )。
A 00000100
B 00110100
C 00110101
D 00110011
2 关于树这种数据结构的下述说法,正确的是( )。
A 一个有m个顶点和m-1条边的图就是树
B 树中的任意两个顶点之间有且只有一条简单路径
C 树中有的结点可能构成环
D 若树根层次为1,则对应高度为n的二叉树最多有2^n个结点
3 以下哪个不是输入设备?( )
A 绘图仪
B 触摸屏
C 扫描仪
D 麦克风
4 当a=3, b=2, c=1时,执行以下程序段后c=( )。
if(a>b)
a=b;
if(b>c)
b=c;
else
c=b;
c=a--;
A 0
B 1
C 2
D 3
5 学生在大学选修某些课程时需要先上其他的前置课程,所有课程和课程间的先修关系构成一个有向图G,有向边<M, N>表示课程M是课程N的先修课,则要找到某门课程L的全部先修课,下面哪种算法不可行?( )
A Dijkstra
B BFS
C DFS
D BFS+DFS
6 下列对语句 freopen("function.in", "r", stdin); 的分析中正确的是( )。
A freopen 是文件名
B function.in 是重定向函数名
C r 代表重定向为“写”方式
D 语句将 cin 重定向到文件 function.in
7 Windows 下可执行文件的扩展名是( )。
A com
B exe
C cpp
D dll
8 [x]补码=10011000,其原码为( )。
A 011001111
B 11101000
C 11100110
D 01100101
9 下面有关布尔类型的函数的说法,正确的是( )。
A 布尔类型函数只能返回 0 和 1 两个值
B 布尔类型函数可以返回负数
C 布尔类型函数必须有参数传递
D 布尔类型函数可以返回 NULL
10 下面有关格雷码的说法,错误的是( )。
A 在格雷码中,任意两个相邻的代码只有一位二进制数不同
B 格雷码是一种可靠性编码
C 在格雷码中,第一个数和最后一个数只有一位二进制数不同
D 格雷码是一种唯一性编码
11 现在有 5 个整数 -2, -1, 0, 1, 2,从中任意挑选两个整数,它们的和为 0 的概率是多少?( )
A 1/6
B 1/4
C 1/5
D 1/10
12 小明走楼梯,每次上台阶能跨 1 或 2 级。下面是走到第 N 步台阶的 C++ 实现代码。该段代码采用的是( )算法。
int UpStairs(int N)
{
if (N==1)
return 1;
else if (N==2)
return 2;
else
return UpStairs(N-2)+UpStairs(N-1)
}
A 递推
B 贪心
C 递归
D 动态规划
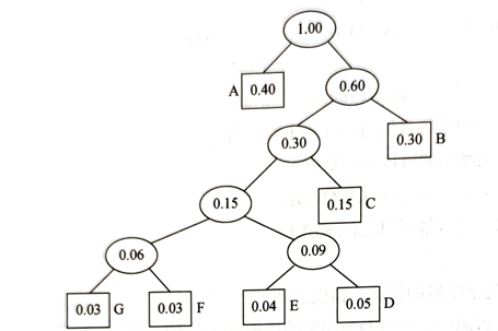
13 某内容中仅会出现 A, B, C, D, E, F, G,对应的出现概率分别为 0.40, 0.30, 0.15, 0.05, 0.04, 0.03, 0.03,如下图所示。按照哈夫曼编码规则,假设 B 的编码为 11,则 D 的编码为( )。

A 10010
B 10011
C 10111
D 10001
14 某学习小组有 5 名男生和 3 名女生,从中选 3 名男生和 1 名女生参加 3 项竞赛活动,每项活动至少有 1 人参加,则参赛方法有( )种。
A 960
B 1080
C 2160
D 540
15 简单无向连通图 G 有 18 条边,且每个顶点的度数为 2,则图 G 有( )个顶点。
A 81
B 17
C 18
D 64
无
//标准程序,修改好答案后提交
#include <bits/stdc++.h>
using namespace std;
string s = "0";
int main(){
s += "ABCDABCDABCDABC";//字符串更改为你的答案,共15个,其他的都不要更改
int x;
cin >> x;
cout << s[x];
return 0;
}