凯凯的工厂正在有条不紊地生产一种神奇的零件,神奇的零件的生产过程自然也很神奇。工厂里有 n 位工人,工人们从 1 \sim n 编号。某些工人之间存在双向的零件传送带。保证每两名工人之间最多只存在一条传送带。
如果 x 号工人想生产一个被加工到第 L (L \gt 1) 阶段的零件,则所有与 x 号工人有传送带直接相连的工人,都需要生产一个被加工到第 L - 1 阶段的零件(但 x 号工人自己无需生产第 L - 1 阶段的零件)。
如果 x 号工人想生产一个被加工到第 1 阶段的零件,则所有与 x 号工人有传送带直接相连的工人,都需要为 x 号工人提供一个原材料。
轩轩是 1 号工人。现在给出 q 张工单,第 i 张工单表示编号为 a_i 的工人想生产一个第 L_i 阶段的零件。轩轩想知道对于每张工单,他是否需要给别人提供原材料。他知道聪明的你一定可以帮他计算出来!
第一行三个正整数 n,m 和 q,分别表示工人的数目、传送带的数目和工单的数目。
接下来 m 行,每行两个正整数 u 和 v,表示编号为 u 和 v 的工人之间存在一条零件传输带。保证 u \neq v。
接下来 q 行,每行两个正整数 a 和 L,表示编号为 a 的工人想生产一个第 L 阶段的零件。
共 q 行,每行一个字符串 Yes 或者 No。如果按照第 i 张工单生产,需要编号为 1 的轩轩提供原材料,则在第 i 行输出 Yes;否则在第 i 行输出 No。注意输出不含引号。
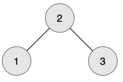
3 2 6 1 2 2 3 1 1 2 1 3 1 1 2 2 2 3 2
No Yes No Yes No Yes
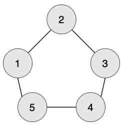
5 5 5 1 2 2 3 3 4 4 5 1 5 1 1 1 2 1 3 1 4 1 5
No Yes No Yes Yes
【输入输出样例 1 说明】
编号为 1 的工人想生产第 1 阶段的零件,需要编号为 2 的工人提供原材料。
编号为 2 的工人想生产第 1 阶段的零件,需要编号为 1 和 3 的工人提供原材料。
编号为 3 的工人想生产第 1 阶段的零件,需要编号为 2 的工人提供原材料。
编号为 1 的工人想生产第 2 阶段的零件,需要编号为 2 的工人生产第 1 阶段的零 件,需要编号为 1 和 3 的工人提供原材料。
编号为 2 的工人想生产第 2 阶段的零件,需要编号为 1 和 3 的工人生产第 1 阶段的零件,他/她们都需要编号为 2 的工人提供原材料。
编号为 3 的工人想生产第 2 阶段的零件,需要编号为 2 的工人生产第 1 阶段的零件,需要编号为 1 和 3 的工人提供原材料。
【输入输出样例 2 说明】
编号为 1 的工人想生产第 1 阶段的零件,需要编号为 2 和 5 的工人提供原材料。
编号为 1 的工人想生产第 2 阶段的零件,需要编号为 2 和 5 的工人生产第 1 阶段的零件,需要编号为 1,3,4 的工人提供原材料。
编号为 1 的工人想生产第 3 阶段的零件,需要编号为 2 和 5 的工人生产第 2 阶段的零件,需要编号为 1,3,4 的工人生产第 1 阶段的零件,需要编号为 2,3,4,5 的工人提供原材料。
编号为 1 的工人想生产第 4 阶段的零件,需要编号为 2 和 5 的工人生产第 3 阶段的零件,需要编号为 1,3,4 的工人生产第 2 阶段的零件,需要编号为 2,3,4,5 的工人生产第 1 阶段的零件,需要全部工人提供原材料。
编号为 1 的工人想生产第 5 阶段的零件,需要编号为 2 和 5 的工人生产第 4 阶段的零件,需要编号为 1,3,4 的工人生产第 3 阶段的零件,需要编号为 2,3,4,5 的工人生产第 2 阶段的零件,需要全部工人生产第 1 阶段的零件,需要全部工人提供原材料。
【数据规模与约定】
共 20 个测试点。
1 \leq u, v, a \leq n。
测试点 1~4,1 \leq n, m \leq 1000,q = 3,L = 1。
测试点 5~8,1 \leq n, m \leq 1000,q = 3,1 \leq L \leq 10。
测试点 9~12,1 \leq n, m, L \leq 1000,1 \leq q \leq 100。
测试点 13~16,1 \leq n, m, L \leq 1000,1 \leq q \leq 10^5。
测试点 17~20,1 \leq n, m, q \leq 10^5,1 \leq L \leq 10^9。
noip复赛